少數載流子的少子壽命τ和擴散長度L,是決定許多半導體器件性能的最重要的材料參數之一。二極管、雙極晶體管、光電二極管、發光二極管半導體閘流管等器件的p-n結構尤其是屬于這種情況。因此,確定少數載流子擴散長度L和壽命τ.對于半導體電子學有源器件的制作工藝來說顯得非常重要。
少子壽命全稱叫非平衡少數載流子壽命,是半導體材料的一個基本參數,它的大小直接影響晶體管的性能。
半導體材料在一定的外界條件下(如光注入或電注入)所產生的比熱平衡態時多出來的那部分電子空穴對稱為非平衡載流子。在外界條件取消后,這種非平衡載流子即通過復合而消失,使材料的載流子數重新恢復到平衡態的數值,非平衡載流子能存在的平均時間稱為壽命。少數載流子的壽命則表示非平衡少數載流子(如N型硅中注入的空穴)能存在的時間的平均值。
半導體中經常會出現這樣的情況:從雜質(例如P型)半導體的一端注入一定量的少數載流子,使得少數載流子濃度在空間上出現梯度分布,如下圖所示。這種濃度差別將導致載流子從高濃度向低濃度處擴散而引起擴散電流。

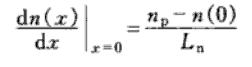
在圖中,P型半導體中熱平衡時的電子濃度為np,x=0處,由于外界電子注入,其濃度最大,為n(0),電子濃度n(x)隨x增大而減小,減小的斜率就是濃度梯度。在x=0處的濃度分布斜率切線延長與水平直線n(x)= np相交,對應的橫坐標x=Ln,稱為電子的擴散長度。在x=0處的電子濃度梯度為

在x=0處的擴散電流最大,為:

若半導體的長度w小于電子擴散長度,如下圖所示,在半導體的另一個邊界處載流子濃度接近于0(實際上應該為np,可以忽略),則載流子濃度梯度可以用下式表示:

即認為它是近似斜率分布。晶體三極管在放大狀態時的汲取非平衡少數載流子就是這種分布。采用上式可以求解此時基區少數載流子擴散電流。